Cùng với tích phân từng phần thì tích phân biến đổi số là phương pháp được sử dụng nhiều, giúp bài toán tích phân trở nên đơn giản hơn. Vậy cách tính tích phân bằng phương pháp đổi biến số cụ thể như thế nào? Nó giúp giải các tích phân lượng giác, hữu tỉ, … ra sao?
Một điểm đặc biệt là phần 3 trong bài viết này, ToanHoc.Org còn liệt kê dấu hiệu nhận biết những bài toán tích phân biến đổi thường gặp giúp bạn giải nhanh.
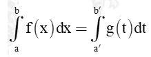
1. Công thức tích phân đổi biến tổng quát cần nhớ
– Vi phân:
- t = u(x) ⇒ dt = u′(x)dx
- u(t) = v(x) ⇒ u′(t)dt = v′(x)dx
Khi đó:

2. Phân loại tích phân đổi biến số
Có 2 loại tích phân biến đổi là loại 1 và loại 2
Loại 1: Tính tích phân bằng phương pháp đổi biến t = u(x)
Bước 1: Đặt t = u(x), đổi cận
- x = a ⇒ t = u (a) = a ′
x = b ⇒ t = u (b) = b ′
Bước 2: Tính vi phân dt = u′(x)dx
Bước 3: Biến đổi f(x)dx thành g(t)dt
Bước 4: Tính tích phân

Loại 2: Tính tích phân bằng phương pháp đổi biến x = u(t)
Bước 1: Đặt x = u(t), đổi cận
- x = a ⇒ t = a′
- x = b ⇒ t = b′
Bước 2: Lấy vi phân 2 vế dx = u ′ (t)dt
Bước 3: Biến đổi f(x)dx = f(u(t)).u′(t)dt = g(t)dt
Bước 4: Tính nguyên hàm theo công thức

3. Dấu hiệu nhận biết loại tích phân đổi biến
Nhận biết dạng 1 (t = u(x))

Nhận biết dạng 2 (x = u(t))

Dạng đặc biệt
Dựa vào việc xem xét cận của tích phân và tính chất của hàm số dưới dấu tích phân ta có thể lựa chọn phép đặt ẩn phụ, thông thường
